ORDERING INFORMATION

Good laboratory practices include the proper use of any HPLC column and using the Cogent UDC-Cholesterol™ columns are no different. On this page you will learn how to get the best results from these Columns. Click HERE for General Instructions on using all Cogent TYPE-C™ Columns.
 

Start-Up Instructions:


SELECT THE MODE OF HPLC to use with Different Types of Compounds:
RP - Reversed-Phase:  Use this column for typical hydrophobic (non-polar) compounds that are generally more hydrophobic than those run on a C18 or with compounds that have equivalent retention when using more water in the mobile phase. This phase also provides selectivity based on molecular shape which can be controlled by temperature and mobile phase composition.  


    Corticosterone_structure_graphic    Oleic_and_Elaidic_Acid_structures_grphic      
                            Coriticosterone           Oleic Acid & Elaidic Acid (trans)  
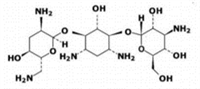
ANP - Aqueous Normal-Phase: Use this column for compounds with several primary and secondary amines and compounds with two or more hydroxyl and/or carboxylic acid groups.
 
       Tobramycin_structure_graphic      Metformin_structure_graphic   
                   Tobramycin                                     Metformin

BEFORE YOU USE THE COLUMN:
  • Completely purge the solvent lines of the previous mobile phase unless it is freshly prepared and identical to the one you will be using for the Cogent UDC-Cholesterol.
  • Purge the injection port to remove any residual compounds from previous analyses.
  • Equilibrate the column for 15 minutes with the starting mobile phase conditions for your method.
START-UP INSTRUCTIONS: 
  • Review Specifications (tolerance for pH, mobile phase and pressure) for these columns. Click HERE
  • When using "dirty" matrices or aggressive mobile phases, inline filters or guard columns should be used. 
  • All solvents used must be a minimum of HPLC grade and should be degassed prior to use as well as degassed inline by your instrument.
  • Buffers should be prepared fresh and removed from the system and column daily.
  • Before attaching the column to the instrument, purge the solvent lines of previous mobile phases unless it is identical to the one you will be using for this column and freshly prepared.
  • Purge the injection port to remove any residual compounds from previous analyses.
  • Install the new column according to the instrument instructions following "Good Laboratory Practices". Ensure the fittings and tubing are all properly connected.
  • Equilibrate the column for 30 minutes with a 50:50 mixture of organic solvent and water including any additives that will be used in your method.
  • For RP: start with your mobile phase at 50:50 organic/water. To increase the retention, increase the water content.
  • For ANP: start with your mobile phase at 50:50 organic/water. To increase the retention, increase the organic content.


Method Development Tips for Cogent UDC-Cholesterol™:

Before starting any method development it’s important to follow the START-UP INSTRUCTIONS above and to have read:  How to Use TYPE-C™ Columns.


RP - REVERSED PHASE METHODS:
  • Neutral Compounds: Use a mobile phase consisting of acetonitrile or methanol for the organic component and DI water. For most applications the addition of 0.1% formic acid to both DI water and the organic solvent is recommended and is essential when using mass spectrometry detection. If there only a few components in the sample without a large range of hydrophobicity, start with a larger amount of organic (70-90%) in the mobile phase and increase the amount of water in 10% increments until the desired separation is achieved.  For more complex samples with a large number of constituents or large hydrophobicity range; set up a linear gradient from 90% water to 10% water over 10 min. Adjust the range of the mobile phase composition and steepness of the gradient (time) until your desired separation is achieved.
  • AcidsWhen analyzing acids in reversed-phase it is essential to acidify the mobile phase using 0.1% formic acid to make the target analyte neutral.  Follow the same protocol above for neutrals when developing either an isocratic or gradient method. 
  • Bases:  Many bases will have a substantial hydrophobic component and can be retained by the protocols described above. Some small bases are too polar to be retained in reversed-phase due to the positive charge on the amine group at low pH and are better analyzed in Aqueous Normal Phase (ANP).  Working in high pH is not recommended as it can damage the HPLC instrument and/or the stationary phase.

ANP - AQUEOUS NORMAL PHASE METHODS: 
  • Neutral Compounds: Only polar neutrals are likely to be retained in ANP.  The same protocols for Acids can be used for polar neutrals in ANP. 
  • Acids: To take advantage of the polar properties of acids, they must be ionized. Start with a buffer of 10 mM ammonium formate or ammonium acetate at pH 6.5.  (Lower or higher molarity buffers can be used as well.) For samples with few components, start at 50% water/10mM buffer and increase the acetonitrile/10 mM buffer content in the mobile phase as needed to get the desired separation and retention. For more complex samples use a test gradient starting at 90% acetonitrile/10 mM buffer decreasing to 20% over 10 minutes.  Adjust as needed to get the desired resolution and retention.
  • Bases:  To take advantage of the polar properties of bases, they must be ionized. Start with a buffer of 0.1% formic acid or 0.2% acetic acid. Both isocratic and gradient protocols described above can be used for bases depending on whether the sample has a few components or is complex. 
  • The UDC-Cholesterol™ Column is unique as it undergoes phase transitions with temperature. Therefore, if the desired selectivity is not achieved in either the RP or ANP modes, change the column temperature.
Click HERE for Troubleshooting Tips.

Following Column Use:

  • Before removing the column, fill it with 90:10 organic/water mobile phase preparing it for storage.
  • Click HERE for complete instructions on How to Store Cogent TYPE-C™ Columns
  • To prevent "pressure shock" and damage to the column; be certain all "pressure" in the system is zero before disconnecting it from the instrument.


 

© Copyright 2026. MICROSOLV. All Rights Reserved. Website & Hosting by BlueTone Media