Vanillic Acid and 6-O-Feruloyl Sucrose Analyzed with LC-MS - AppNote
January 7, 2014
/
/
/
Rice Extract Sample Containing Vanillic Acid and Feruloylsucrose
Click HERE for Column Ordering Information.

When commercial Rice Extracts were analyzed, only Vanillic Acid (Peak 1) was found in one out of 3 Extracts and 6'-O-Feruloylsucrose (peak 2) was found in all 3 extracts. The results were confirmed by analyzing spiked Rice Extract samples. The analysis was done in a single run by switching polarity between positive and negative ionization mode.

According to the literature [1], a Rice Extract should contain following compounds: Gallic Acid, Vanillic Acid, p-Coumaric Acid, Ferulic Acid, 3,5 Dimethoxy-4-Hydroxycinnamic Acid, Syringic Acid, Caffeic Acid, and 6'-O-Feruloylsucrose.

Vanillic Acid and 6'-O-Feruloylsucrose Chroamtogram

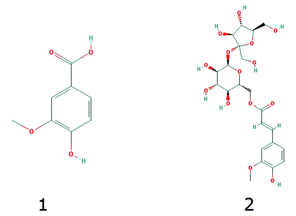
Vanillic Acid and 6'-O-Feruloylsucrose Chemical Structures

Peaks:
1. Vanillic Acid 167 m/z [M-H]–
2. 6'-O-Feruloylsucrose 178 m/z [M-C12H22O11+H]+

Method Conditions
Column: Cogent Phenyl Hydride™, 4 μm, 100 Å
Catalog No.: 69020-05P-2
Dimensions: 2.1 x 50 mm

Mobile Phase
:
  • A: DI Water with 0.1% Formic Acid (v/v)
  • B: Acetonitrile with 0.1% Formic Acid (v/v)
Gradient:
Time (minutes) %B
0 10
5 20
6 20
7 10

Post Time
: 3 minutes
Injection vol.: 1 μL
Flow rate: 0.3 mL / minute
Detection: ESI – NEG, POS - PerkinElmer Flexar SQ 300 Mass Spectrometer

Sample Preparation
: A commercially available Rice Extract was analyzed.

t 0 : 0.6 minutes

Note : Rice is a staple food in many countries. It contains phenolic compounds which have anticancer, antioxidant, and antimutagenic effects. It is important to analyze rice extracts to confirm the content of the phenolic compounds in rice. 
[1] S. Tian, K. Nakamura, T. Cui, H. Kayahara, J. Chromatogr. A, 1063 (2005) 121-128.



Attachment   
No 285 Vanillic Acid and 6'-O-Feruloylsucrose Analyzed with LCMS pdf  0.3 Mb  Download File

 

Related Articles

  1. Oleuropein in Olive Leaves Extract Analyzed with LCMS - AppNote
  2. Polyphenols Gallic Acid, Catechin, and Epicatechin in Grape Seed Extract Analyzed with LCMS - AppNote

© Copyright 2026. MICROSOLV. All Rights Reserved. Website & Hosting by BlueTone Media