Phenolic Acids Analyzed with LCMS - AppNote
February 13, 2014
/
/
/
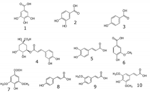
Compounds Shown were Extracted from Commercial Rice.
Click HERE for Column Ordering Information.
Commercial Rice Extract 3 was spiked with ten standards and analyzed. The Cogent Phenyl Hydride Column was an excellent choice to use for analysis of Phenolic Compounds with Reversed Phase HPLC. The Retention and Separation of all nine available standards was possible using the Method below.
Column: Cogent Phenyl Hydride™, 4 μm, 100 Å
Catalog No.: 69020-05P-2
Dimensions: 2.1 x 50 mm
Mobile Phase:
Gradient:
Post Time: 3 minutes
Injection vol.:1 μL
Flow rate: 0.4 mL / minute
Detection: ESI – Neg - Perkin Elmer, Flexar SQ 300 Mass Spectrometer
Sample Preparation: Commercial Rice Extract 3 was spiked with standards @ 12.5 ppm.
t 0 : 0.5 minutes
Notes: After the Separation Method was developed, several rice extracts were analyzed and compounds from the group of available standards were detected based on m/z values and Retention Time. Peaks for the two compounds Caffeic and Vanillic Acids were not Separated but since these compounds have very different m/z values, it was possible to determine their presence in a rice extract.
Attachment No 294 10 Phenolic Acids Analyzed with LCMS pdf 0.3 Mb Download File
Click HERE for Column Ordering Information.
Commercial Rice Extract 3 was spiked with ten standards and analyzed. The Cogent Phenyl Hydride Column was an excellent choice to use for analysis of Phenolic Compounds with Reversed Phase HPLC. The Retention and Separation of all nine available standards was possible using the Method below.
Peaks:
1. Gallic Acid 169 m/z [M-H]–
2. 3,4-Hydroxybenzoic Acid 153 m/z [M-H]–
3. 4-Hydroxybenzoic Acid 137 m/z [M-H]–
4. Chlorogenic Acid 353 m/z [M-H]–
5. Caffeic Acid 179 m/z [M-H]–
6. Vanillic Acid 167 m/z [M-H]–
7. Syringic Acid 197 m/z [M-H]–
8. p-Coumaric Acid 163 m/z [M-H]–
9. Ferulic Acid 193 m/z [M-H]–
10. 3,5-Dimethoxy-4-Hydroxycinnamic A cid 223 m/z [M-H]–
Column: Cogent Phenyl Hydride™, 4 μm, 100 Å
Catalog No.: 69020-05P-2
Dimensions: 2.1 x 50 mm
Mobile Phase:
- A: DI Water / 0.1% Formic Acid (v/v)
- B: Acetonitrile / 0.1% Formic Acid (v/v)
Gradient:
| Time (minutes) | %B |
|---|---|
| 0 | 10 |
| 5 | 20 |
| 6 | 20 |
| 7 | 10 |
Post Time: 3 minutes
Injection vol.:1 μL
Flow rate: 0.4 mL / minute
Detection: ESI – Neg - Perkin Elmer, Flexar SQ 300 Mass Spectrometer
Sample Preparation: Commercial Rice Extract 3 was spiked with standards @ 12.5 ppm.
t 0 : 0.5 minutes
Notes: After the Separation Method was developed, several rice extracts were analyzed and compounds from the group of available standards were detected based on m/z values and Retention Time. Peaks for the two compounds Caffeic and Vanillic Acids were not Separated but since these compounds have very different m/z values, it was possible to determine their presence in a rice extract.
Attachment No 294 10 Phenolic Acids Analyzed with LCMS pdf 0.3 Mb Download File