Domoic Acid Amino Acids and Ornithine Analyzed with LCMS - AppNote
May 18, 2012
/
/
/
LC-MS Analysis without Analyte Derivatization
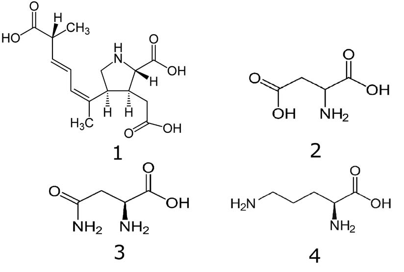
The potent toxin, Domoic Acid is a highly polar compound which is poorly retained on most Reversed Phase Columns. In this Method , not only was Domoic Acid well Retained but also two isobaric compounds (L-Asparagine and Ornithine) were Retained and Separated. In addition, the Peak obtained for Aspartic Acid was very Symmetrical. From these chromatograms, it is clear that the two cell extracts show differences in the ratios between the analyzed compounds (Figure A vs. B).
The presented Method can be used in studies of cell extracts. In addition, it is Robust and Reproducible. The Column in this Method requires a very short Equilibration time between Gradient runs and the Method does not require pre-Column derivatization of any of the analytes.
Column: Cogent Diamond Hydride™, 4 μm, 100Å
Catalog No.: 70000-15P-2
Dimensions: 2.1 x 150 mm
Mobile Phase:
-- A: 50% DI Water / 50% Methanol / 0.1% Formic Acid
-- B: Acetonitrile / 0.1% Formic Acid
Gradient:
Post Time: 5 minutes
Injection vol.: 1 μL
Flow rate: 0.4 mL / minute
Detection: ESI – POS - Agilent 6210 MSD TOF Mass Spectrometer
Sample Preparation: Methanolic extracts of proprietary cell cultures A and B, isolated by filtration.
t 0 : 0.9 minutes
Note: Domoic Acid, a compound known for some 30 years, was found to have neurological effects when ingested by humans. Upon ingestion, it causes diarrhea, dizziness, seizures, permanent loss of short-term memory and sometimes death.
Attachment No 153 Domoic Acid, Amino Acids, & Ornithine Analyzed with LCMS pdf 0.4 Mb Download File
The potent toxin, Domoic Acid is a highly polar compound which is poorly retained on most Reversed Phase Columns. In this Method , not only was Domoic Acid well Retained but also two isobaric compounds (L-Asparagine and Ornithine) were Retained and Separated. In addition, the Peak obtained for Aspartic Acid was very Symmetrical. From these chromatograms, it is clear that the two cell extracts show differences in the ratios between the analyzed compounds (Figure A vs. B).
The presented Method can be used in studies of cell extracts. In addition, it is Robust and Reproducible. The Column in this Method requires a very short Equilibration time between Gradient runs and the Method does not require pre-Column derivatization of any of the analytes.
Peaks:
1. Domoic Acid
312.1442 m/z (M+H)+
2. L-aspartic Acid
134.0453 m/z (M+H)+
3. L-asparagine
133.0608 m/z (M+H)+
4. Ornithine
133.0972 m/z (M+H)+
Column: Cogent Diamond Hydride™, 4 μm, 100Å
Catalog No.: 70000-15P-2
Dimensions: 2.1 x 150 mm
Mobile Phase:
-- A: 50% DI Water / 50% Methanol / 0.1% Formic Acid
-- B: Acetonitrile / 0.1% Formic Acid
Gradient:
| Time (minutes) | %B |
|---|---|
| 0 | 95 |
| 7 | 20 |
| 10 | 20 |
| 11 | 95 |
Post Time: 5 minutes
Injection vol.: 1 μL
Flow rate: 0.4 mL / minute
Detection: ESI – POS - Agilent 6210 MSD TOF Mass Spectrometer
Sample Preparation: Methanolic extracts of proprietary cell cultures A and B, isolated by filtration.
t 0 : 0.9 minutes
Note: Domoic Acid, a compound known for some 30 years, was found to have neurological effects when ingested by humans. Upon ingestion, it causes diarrhea, dizziness, seizures, permanent loss of short-term memory and sometimes death.
Attachment No 153 Domoic Acid, Amino Acids, & Ornithine Analyzed with LCMS pdf 0.4 Mb Download File