Brazilian Tree Bark Analyzed with LCMS - AppNote
February 16, 2015
/
/
/
/
/
/
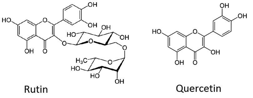
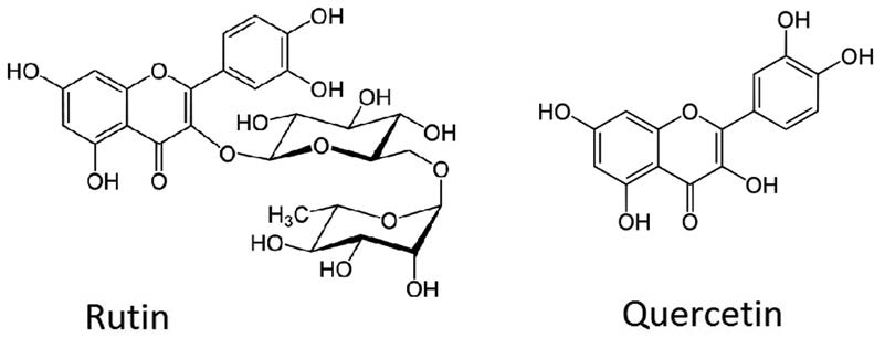
Identification of Quercetin, Rutin, and "Compound 1" in a Brazilian Tree Bark
Over one quarter of natural medicines have been discovered in rainforests, and therefore analytical study of the indigenous flora and fauna is necessary. The Amazonian rainforest in Brazil is the most biodiverse region in the world.
A Brazilian tree bark extract (Brownea Grandiceps) is analyzed by LCMS and three beneficial compounds were identified in the Extracted Ion Chromatograms (EIC)s.

Method Conditions
Column: Cogent Diamond Hydride™, 4μm, 100Å
Catalog No.: 70000-15P-2
Dimensions: 2.1 x 150mm
Mobile Phase:
--A: DI Water / 0.1% Formic Acid
--B: Acetonitrile / 0.1% Formic Acid (v/v)
Gradient:
Post Time: 3 minutes
Injection vol.: 1µL
Flow rate: 0.4mL / minute
Detection: ESI – POS - Agilent 6210 MSD TOF Mass Spectrometer
Sample Preparation: Two pieces of bark were boiled for 5 minutes in DI Water and then filtered with a 0.45μm Nylon Syringe Filter (MICROSOLV Tech Corp.).
t0: 0.9 minutes
Note: Preliminary research suggests that Quercetin may have Antiviral, Anti-Cancer, and Anti-Inflammatory properties. Likewise, Rutin has been reputed to have health benefits as well such as Anti-Oxidant properties, lowered risk of heart attack or stroke, and others.
Attachment
No 320 Brazilian Tree Bark Analyzed with LCMS pdf 0.3 Mb Download File
Over one quarter of natural medicines have been discovered in rainforests, and therefore analytical study of the indigenous flora and fauna is necessary. The Amazonian rainforest in Brazil is the most biodiverse region in the world.
A Brazilian tree bark extract (Brownea Grandiceps) is analyzed by LCMS and three beneficial compounds were identified in the Extracted Ion Chromatograms (EIC)s.
Peaks:
1. (6-Beta-O-2’,3’-Dihydrocinamonyl-12-Hydroxy-(13) 15-en-16,12-Olide-18-Cassaneoic Acid) m/z 498.2612 [M + H]+
2. Rutin m/z 611.1607 [M + H]+
3. Quercetin m/z 303.0499 [M + H]+
Method Conditions
Column: Cogent Diamond Hydride™, 4μm, 100Å
Catalog No.: 70000-15P-2
Dimensions: 2.1 x 150mm
Mobile Phase:
--A: DI Water / 0.1% Formic Acid
--B: Acetonitrile / 0.1% Formic Acid (v/v)
Gradient:
| Time (minutes) | %B |
| 0 | 80 |
| 1 | 10 |
| 5 | 10 |
| 6 | 80 |
Injection vol.: 1µL
Flow rate: 0.4mL / minute
Detection: ESI – POS - Agilent 6210 MSD TOF Mass Spectrometer
Sample Preparation: Two pieces of bark were boiled for 5 minutes in DI Water and then filtered with a 0.45μm Nylon Syringe Filter (MICROSOLV Tech Corp.).
t0: 0.9 minutes
Note: Preliminary research suggests that Quercetin may have Antiviral, Anti-Cancer, and Anti-Inflammatory properties. Likewise, Rutin has been reputed to have health benefits as well such as Anti-Oxidant properties, lowered risk of heart attack or stroke, and others.
Attachment
No 320 Brazilian Tree Bark Analyzed with LCMS pdf 0.3 Mb Download File