Galactose and Maltose Analyzed with ELSD – AppNote
February 17, 2022
/
/
/
Retention and Separation of Mono and Disaccharides
This Method demonstrates the ability to retain two highly polar test solutes. Maltose, for example, has a log P of -4.7 and would be difficult to retain in Reversed Phase. Great separation is observed for these Mono and Disaccharides.
Column: Cogent Amide™, 4 μm, 100 Å
Catalog No.: 40036-10P
Dimensions: 4.6 x 100 mm
Mobile Phase: 85% Acetonitrile 15% DI Water / 0.1% Triethylamine (TEA) (v/v)
Flow rate: 1.0 mL / minute
Detection: ELSD (Evaporative Light Scattering Detector) Gain: 10; Temperature: 65°C;
Injection vol.: 1 μL
Sample Preparation: Reference standards (1 mg/mL) in diluent of 50% Acetonitrile / 50% DI Water (v/v)
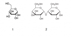
Note: Galactose is a monosaccharide and Maltose is a disaccharide. Maltose is the disaccharide produced when amylase breaks down starch.
Note: Capacity Factor - Relative Retention k = (tR-t0)/t0
This Method demonstrates the ability to retain two highly polar test solutes. Maltose, for example, has a log P of -4.7 and would be difficult to retain in Reversed Phase. Great separation is observed for these Mono and Disaccharides.
Peaks: 1 . D-Galactose, 2. Maltose
Method ConditionsColumn: Cogent Amide™, 4 μm, 100 Å
Catalog No.: 40036-10P
Dimensions: 4.6 x 100 mm
Mobile Phase: 85% Acetonitrile 15% DI Water / 0.1% Triethylamine (TEA) (v/v)
Flow rate: 1.0 mL / minute
Detection: ELSD (Evaporative Light Scattering Detector) Gain: 10; Temperature: 65°C;
Injection vol.: 1 μL
Sample Preparation: Reference standards (1 mg/mL) in diluent of 50% Acetonitrile / 50% DI Water (v/v)
t0: 1.50 Minutes
K1: 1.33
K1: 1.33
Note: Galactose is a monosaccharide and Maltose is a disaccharide. Maltose is the disaccharide produced when amylase breaks down starch.
Note: Capacity Factor - Relative Retention k = (tR-t0)/t0
