ORDERING INFORMATION

Good laboratory practices include the proper use of any HPLC column and using the Cogent UDA™ columns are no different. On this page you will learn how to get the best results from these Columns. Click HERE for General Instructions on using all Cogent TYPE-C™ Columns.
 

Start-Up Instructions:

 

SELECT THE MODE OF HPLC to use with Different Types of Compounds:

RP - Reversed-Phase The Cogent UDA phase is primarily suited for polar compounds and thus has limited use in the Reversed-Phase (RP) mode. 

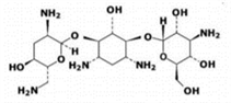
ANP / HILIC - Aqueous Normal-Phase / HILIC:  Cogent UDA™ is a weak cation exchange (wcx) stationary phase that can be used for positively charged analytes and other polar compounds like nucleotides or those containing primary or secondary amines. Some examples of easily retained molecules are shown below:
 
       Cetylpridinium_Structure_Graphic      Adenosine_Triphosphate_structure_Graphic   Tobramycin_structure_graphic
                 Cetylpridinium Chloride                                   Adenosine Triphosphate                                 Tobramycin

BEFORE YOU USE THE COLUMN:
  • Phosphoric acid should not be used as an additive for the Cogent UDA column since its use can permanently alter the separation capabilities and lifetime of the stationary phase.  
  • Completely purge the solvent lines of the previous mobile phase unless it is freshly prepared and identical to the one you will be using for the Cogent UDA™.
  • Purge the injection port to remove any residual compounds from previous analyses.
  • Equilibrate the column for 15 minutes with the starting mobile phase conditions for your method.
START-UP INSTRUCTIONS: 
  • Review Specifications (tolerance for pH, mobile phase and pressure) for these columns; Click HERE
  • When using "dirty" matrices or aggressive mobile phases, inline filters or guard columns should be used. 
  • All solvents used must be a minimum HPLC grade and should be degassed prior to use as well as degassed inline by your instrument if possible.
  • Buffers should be prepared fresh, removed from the system and column daily.
  • Before attaching the column to the instrument, purge the solvent lines of previous mobile phases unless it is identical to the one you will be using for this column and freshly prepared.
  • Purge the injection port to remove any residual compounds from previous analyses.
  • Install the new column according to the instrument instructions following "Good Laboratory Practices". Ensure the fittings and tubing are all properly connected.
  • Equilibrate the column for 30 minutes with a 50:50 mixture of organic solvent and water including any additives that will be used in your method.
  • For ANP / HILIC: Start with your mobile phase at 50:50 organic/water. To increase the retention, increase the organic content.


Method Development Tips for Cogent UDA™:

Before starting any method development it’s important to follow the START-UP INSTRUCTIONS above and to have read:  How to Use TYPE-C™ Columns.


RP - REVERSED PHASE METHODS:
  • Since the Cogent UDA™ has a slightly hydrophobic surface, using it in Reversed Phase mode should be limited. For the analysis of typical non-polar compounds it is advisable to select one of the more suitable Cogent columns: Bidentate C18™, Bidentate C8™, Phenyl Hydride™ or UDC Cholesterol™.

ANP / HILIC - AQUEOUS NORMAL PHASE / HILIC METHODS: The carboxylic acid group at the end of the hydrocarbon chain enhances ionic interactions with cations and nitrogen atoms.
  • Neutral Compounds: Only polar neutrals are likely to be retained in ANP / HILIC. The same protocols for acids can be used for polar neutrals in ANP / HILIC. 
  • Acids: To take advantage of the polar properties of acids, they must be ionized so a buffer of 10 mM ammonium formate or ammonium acetate at pH 6.5 is used as a starting point. Analytes should also have an amine group, or two or more hydroxyl groups. Lower or higher molarity buffers can be used as well. For samples with few components, start at 50% water/10mM buffer and increase the acetonitrile/10 mM buffer content in the mobile phase as needed to get the desired separation and retention.  For more complex samples use a test gradient starting at 90% acetonitrile/10 mM buffer and decrease to 20% acetonitrile over 10 min.  Adjust as needed to get the desired resolution and retention
  • Bases:  To take advantage of the polar properties of bases, they must be ionized so a buffer of 0.1% formic acid or 0.2% acetic acid is used.  Both isocratic and gradient protocols described above can be used for bases depending on whether the sample has a few components or is complex.  
  • An alternate choice for the organic component in the mobile phase is Acetone when using detection other than UV such as mass spectrometry, light scattering or electrochemical methods.
Click HERE for Troubleshooting Tips.

Following Column Use:

  • Before removing the column, fill it with 90:10 organic/water mobile phase preparing it for storage.
  • Click HERE for complete instructions on How to Store Cogent TYPE-C™ Columns
  • To prevent "pressure shock" and damage to the column; be certain all "pressure" in the system is zero before disconnecting it from the instrument.


 

© Copyright 2026. MICROSOLV. All Rights Reserved. Website & Hosting by BlueTone Media